Reporting Tips to Your Employer
Why report tips to your employer?
You must report tips to your employer so that:
- Your employer can withhold federal income tax and social security and Medicare taxes or railroad retirement tax,
- Your employer can report the correct amount of your earnings to the Social Security Administration or Railroad Retirement Board (which
affects your benefits when you retire or if you become disabled, or your family's benefits if you die), and
- You can avoid the penalty for not reporting tips to your employer (explained later).
What tips to report.
Report to your employer only cash, check, or credit card tips you receive.
If your total tips for any one month from any one job are less than $20, do not report them to your employer.
Do not report the value of any noncash tips, such as tickets or passes, to your employer. You do not pay social security and Medicare taxes or
railroad retirement tax on these tips.
How to report.
If your employer does not give you any other way to report your tips, you can use Form 4070, Employee's Report of Tips to Employer. To
get a year's supply of the form, ask the IRS or your employer for Publication 1244. Fill in the information asked for on the form, sign and date the
form, and give it to your employer. A sample filled-in Form 4070 is shown later.
If you do not use Form 4070, give your employer a statement with the following information.
- Your name, address, and social security number.
- Your employer's name, address, and business name (if it is different from the employer's name).
- The month (or the dates of any shorter period) in which you received tips.
- The total tips required to be reported for that period.
You must sign and date the statement. You should keep a copy with your personal records.
Your employer may require you to report your tips more than once a month. However, the statement cannot cover a period of more than one calendar
month.
Electronic tip statement.
Your employer can have you furnish your tip statements electronically.
When to report.
Give your report for each month to your employer by the 10th of the next month. If the 10th falls on a Saturday, Sunday, or legal holiday, give
your employer the report by the next day that is not a Saturday, Sunday, or legal holiday.
Example 1.
You must report your tips received in June 2003 by July 10, 2003.
Example 2.
You must report your tips received in April 2003 by May 12, 2003. May 10th is on a Saturday, and the 12th is the next day that is not a Saturday,
Sunday, or legal holiday.
Final report.
If your employment ends during the month, you can report your tips when your employment ends.
Penalty for not reporting tips.
If you do not report tips to your employer as required, you may be subject to a penalty equal to 50% of the social security and Medicare taxes or
railroad retirement tax you owe on the unreported tips. (For information about these taxes, see Reporting social security and Medicare taxes on
tips not reported to your employer under Reporting Tips on Your Tax Return, later.) The penalty amount is in addition to the taxes
you owe.
You can avoid this penalty if you can show reasonable cause for not reporting the tips to your employer. To do so, attach a statement to your
return explaining why you did not report them.

Filled-in Form 4070
Giving your employer money for taxes.
Your regular pay may not be enough for your employer to withhold all the taxes you owe on your regular pay plus your reported tips. If this
happens, you can give your employer money until the close of the calendar year to pay the rest of the taxes.
If you do not give your employer enough money, your employer will apply your regular pay and any money you give to the taxes, in the following
order.
- All taxes on your regular pay.
- Social security and Medicare taxes or railroad retirement tax on your reported tips.
- Federal, state, and local income taxes on your reported tips.
Any taxes that remain unpaid can be collected by your employer from your next paycheck. If withholding taxes remain uncollected at the end of the
year, you may be subject to a penalty for underpayment of estimated taxes. See Publication 505, Tax Withholding and Estimated Tax, for more
information.
Uncollected taxes. You must report on your tax return any social security and Medicare taxes or railroad retirement tax that remained
uncollected at the end of 2002. See Reporting uncollected social security and Medicare taxes on tips under Reporting Tips on Your Tax
Return, later. These uncollected taxes will be shown in box 12 of your 2002 Form W-2 (codes A and B).
Tip Rate Determination and Education Program
Your employer may participate in the Tip Rate Determination and Education Program. The program was developed to help employees and employers
understand and meet their tip reporting responsibilities.
There are two agreements under the program - the Tip Rate Determination Agreement (TRDA) and the Tip Reporting Alternative
Commitment (TRAC). In addition, employers in the food and beverage industry may be able to get approval of an employer-designed EmTRAC program.
For information on the EmTRAC program, see Notice 2001-1 in Internal Revenue Bulletin No. 2001-2 (or Cumulative Bulletin
2001-1).
Your employer can provide you with a copy of the agreement. If you want to learn more about these agreements, contact the local tip coordinator. A
list of tip coordinators is available at www.irs.gov.
Reporting Tips on Your Tax Return
How to report tips.
Report your tips with your wages on line 1, Form 1040EZ, or line 7, Form 1040A or Form 1040.
What tips to report.
You must report all tips you received in 2002, including both cash tips and noncash tips, on your tax return. Any tips you reported to your
employer for 2002 are included in the wages shown in box 1 of your Form W-2. Add to the amount in box 1 only the tips you did not report to your
employer.
If you received $20 or more in cash and charge tips in a month and did not report all of those tips to your employer, see Reporting social
security and Medicare taxes on tips not reported to your employer, later.
If you did not keep a daily tip record as required and an amount is shown in box 8 of your Form W-2, see Allocated Tips, later.
If you kept a daily tip record and reported tips to your employer as required under the rules explained earlier, add the following tips to the
amount in box 1 of your Form W-2.
- Cash and charge tips you received that totaled less than $20 for any month.
- The value of noncash tips, such as tickets, passes, or other items of value.
Example.
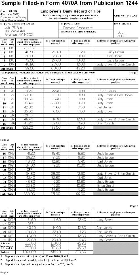
John Allen began working at the Diamond Restaurant (his only employer in 2002) on June 30 and received $10,000 in wages during the year. John kept
a daily tip record showing that his tips for June were $18 and his tips for the rest of the year totaled $7,000. He was not required to report his
June tips to his employer, but he reported all of the rest of his tips to his employer as required. The sample filled-in forms on page 2 and this page
show his daily tip record (Form 4070A) and his report to his employer (Form 4070) for October.
John's Form W-2 from Diamond Restaurant shows $17,000 ($10,000 wages + $7,000 reported tips) in box 1. He adds the $18 unreported tips to
that amount and reports $17,018 as wages on line 1 of his Form 1040EZ.
Reporting social security and Medicare taxes on tips not reported to your employer.
If you received $20 or more in cash and charge tips in a month from any one job and did not report all of those tips to your employer, you must
report the social security and Medicare taxes on the unreported tips as additional tax on your return. To report these taxes, you must file a return
even if you would not otherwise have to file. You must use Form 1040. (You cannot file Form 1040EZ or Form 1040A.)
Use Form 4137, Social Security and Medicare Tax on Unreported Tip Income, to figure these taxes. Enter the tax on line 57,
Form 1040, and attach the Form 4137 to your return.
Reporting uncollected social security and Medicare taxes on tips.
If your employer could not collect all the social security and Medicare taxes or railroad retirement tax you owe on tips reported for 2002, the
uncollected taxes will be shown in box 12 of your Form W-2 (codes A and B). You must report these amounts as additional tax on your return. You
may have uncollected taxes if your regular pay was not enough for your employer to withhold all the taxes you owe and you did not give your employer
enough money to pay the rest of the taxes.
To report these uncollected taxes, you must file a return even if you would not otherwise have to file. You must use Form 1040. (You cannot file
Form 1040EZ or Form 1040A.) Include the taxes in your total tax amount on line 61, and write UT and the total of the uncollected taxes on the
dotted line next to line 61.
Allocated Tips
If your employer allocated tips to you, they are shown separately in box 8 of your Form W-2. They are not included in box 1 with your wages
and reported tips. If box 8 is blank, this discussion does not apply to you.
What are allocated tips?
These are tips that your employer assigned to you in addition to the tips you reported to your employer for the year. Your employer will have done
this only if:
- You worked in a restaurant, cocktail lounge, or similar business that must allocate tips to employees, and
- The tips you reported to your employer were less than your share of 8% of food and drink sales.
How were your allocated tips figured?
The tips allocated to you are your share of an amount figured by subtracting the reported tips of all employees from 8% (or an approved lower rate)
of food and drink sales (other than carryout sales and sales with a service charge of 10% or more). Your share of that amount was figured using either
a method provided by an employer-employee agreement or a method provided by IRS regulations based on employees' sales or hours worked. For information
about the exact allocation method used, ask your employer.
Must you report your allocated tips on your tax return?
You must report allocated tips on your tax return unless either of the following exceptions applies.
- You kept a daily tip record, or other evidence that is as credible and as reliable as a daily tip record, as required under rules explained
earlier.
- Your tip record is incomplete, but it shows that your actual tips were more than the tips you reported to your employer plus the allocated
tips.
If either exception applies, report your actual tips on your return. Do not report the allocated tips. See What tips to report under
Reporting Tips on Your Tax Return, earlier.
How to report allocated tips.
If you must report allocated tips on your return, add the amount in box 8 of your Form W-2 to the amount in box 1. Report the total as wages
on line 7 of Form 1040. (You cannot file Form 1040EZ or Form 1040A.)
Because social security and Medicare taxes were not withheld from the allocated tips, you must report those taxes as additional tax on your return.
Complete Form 4137, and include the allocated tips on line 1 of the form. See Reporting social security and Medicare taxes on tips not reported
to your employer under Reporting Tips on Your Tax Return, earlier.
How to request an approved lower rate.
Your employer can use a tip rate lower than 8% (but not lower than 2%) to figure allocated tips only if the IRS approves the lower rate. Either the
employer or the employees can request approval of a lower rate by filing a petition with the IRS. The petition must include specific information about
the business that will justify the lower rate. A user fee must be paid with the petition.
An employee petition can be filed only with the consent of a majority of the directly-tipped employees (waiters, bartenders, and others who receive
tips directly from customers). The petition must state the total number of directly-tipped employees and the number of employees consenting to the
petition. Employees filing the petition must promptly notify the employer, and the employer must promptly give the IRS a copy of any
Form 8027, Employer's Annual Information Return of Tip Income and Allocated Tips, filed by the
employer for the previous 3 years.
For more information about how to file a petition and what information to include, see the instructions for Form 8027.
How To Get Tax Help
You can get help with unresolved tax issues, order free publications and forms, ask tax questions, and get more information from the IRS in several
ways. By selecting the method that is best for you, you will have quick and easy access to tax help.
Contacting your Taxpayer Advocate.
If you have attempted to deal with an IRS problem unsuccessfully, you should contact your Taxpayer Advocate.
The Taxpayer Advocate represents your interests and concerns within the IRS by protecting your rights and resolving problems that have not been
fixed through normal channels. While Taxpayer Advocates cannot change the tax law or make a technical tax decision, they can clear up problems that
resulted from previous contacts and ensure that your case is given a complete and impartial review.
To contact your Taxpayer Advocate:
- Call the Taxpayer Advocate at 1-877-777-4778.
- Call, write, or fax the Taxpayer Advocate office in your area.
- Call 1-800-829-4059 if you are a TTY/TDD user.
For more information, see Publication 1546, The Taxpayer Advocate Service of the IRS.
Free tax services.
To find out what services are available, get Publication 910, Guide to Free Tax Services. It contains a list of free tax publications
and an index of tax topics. It also describes other free tax information services, including tax education and assistance programs and a list of
TeleTax topics.
Personal computer. With your personal computer and modem, you can access the IRS on the Internet at www.irs.gov. While
visiting our web site, you can:
- See answers to frequently asked tax questions or request help by e-mail.
- Download forms and publications or search for forms and publications by topic or keyword.
- Order IRS products on-line.
- View forms that may be filled in electronically, print the completed form, and then save the form for recordkeeping.
- View Internal Revenue Bulletins published in the last few years.
- Search regulations and the Internal Revenue Code.
- Receive our electronic newsletters on hot tax issues and news.
- Learn about the benefits of filing electronically (IRS e-file).
- Get information on starting and operating a small business.
You can also reach us with your computer using File Transfer Protocol at ftp.irs.gov.
TaxFax Service. Using the phone attached to your fax machine, you can receive forms and instructions by calling
703-368-9694. Follow the directions from the prompts. When you order forms, enter the catalog number for the form you need. The
items you request will be faxed to you.
For help with transmission problems, call the FedWorld Help Desk at 703-487-4608.
Phone. Many services are available by phone.
- Ordering forms, instructions, and publications. Call 1-800-829-3676 to order current and prior year
forms, instructions, and publications.
- Asking tax questions. Call the IRS with your tax questions at 1-800-829-1040.
- Solving problems. Take advantage of Everyday Tax Solutions service by calling your local IRS office to set up an in-person
appointment at your convenience. Check your local directory assistance or www.irs.gov for the numbers.
- TTY/TDD equipment. If you have access to TTY/TDD equipment, call 1-800-829-4059 to ask tax questions
or to order forms and publications.
- TeleTax topics. Call 1-800-829-4477 to listen to pre-recorded messages covering various tax
topics.
Evaluating the quality of our telephone services. To ensure that IRS representatives give accurate, courteous, and professional answers,
we use several methods to evaluate the quality of our telephone services. One method is for a second IRS representative to sometimes listen in on or
record telephone calls. Another is to ask some callers to complete a short survey at the end of the call.
Walk-in. Many products and services are available on a walk-in basis.
- Products. You can walk in to many post offices, libraries, and IRS offices to pick up certain forms, instructions, and
publications. Some IRS offices, libraries, grocery stores, copy centers, city and county governments, credit unions, and office supply stores have an
extensive collection of products available to print from a CD-ROM or photocopy from reproducible proofs. Also, some IRS offices and libraries have the
Internal Revenue Code, regulations, Internal Revenue Bulletins, and Cumulative Bulletins available for research purposes.
- Services. You can walk in to your local IRS office to ask tax questions or get help with a tax problem. Now you can set up an
appointment by calling your local IRS office number and, at the prompt, leaving a message requesting Everyday Tax Solutions help. A representative
will call you back within 2 business days to schedule an in-person appointment at your convenience.
Mail. You can send your order for forms, instructions, and publications to the Distribution Center nearest to you and receive a response
within 10 workdays after your request is received. Find the address that applies to your part of the country.
- Western part of U.S.:
Western Area Distribution Center
Rancho Cordova, CA 95743-0001
- Central part of U.S.:
Central Area Distribution Center
P.O. Box 8903
Bloomington, IL 61702-8903
- Eastern part of U.S. and foreign addresses:
Eastern Area Distribution Center
P.O. Box 85074
Richmond, VA 23261-5074
CD-ROM for tax products. You can order IRS Publication 1796, Federal Tax Products on CD-ROM, and obtain:
- Current tax forms, instructions, and publications.
- Prior-year tax forms and instructions.
- Popular tax forms that may be filled in electronically, printed out for submission, and saved for recordkeeping.
- Internal Revenue Bulletins.
The CD-ROM can be purchased from National Technical Information Service (NTIS) by calling 1-877-233-6767 or on the
Internet at http://www.irs.gov/cdorders. The first release is available in early January and the final release is available in late
February.
CD-ROM for small businesses. IRS Publication 3207, Small Business Resource Guide, is a must for every small business owner or
any taxpayer about to start a business. This handy, interactive CD contains all the business tax forms, instructions and publications needed to
successfully manage a business. In addition, the CD provides an abundance of other helpful information, such as how to prepare a business plan,
finding financing for your business, and much more. The design of the CD makes finding information easy and quick and incorporates file formats and
browsers that can be run on virtually any desktop or laptop computer.
It is available in March. You can get a free copy by calling 1-800-829-3676 or by visiting the website at
www.irs.gov/smallbiz.
First
Publication Index | 2002 Tax Help Archives | Tax Help Archives | Home